Lagrangian approach to deriving the gravity equations in the new theory.
Ruslan Sharipov
The Lagrangian approach to deriving various equations is associated with the name of Joseph Louis Lagrange. Detailed information about him can be found in Wikipedia. In mechanics and in physics his name is associated with the so-called "least action principle". According to this principle, the evolution of a physical system occurs in such a way that some integral over time turns out to take the smallest possible value. This integral is called the action integral. It is usually denoted by the letter S.

The function L in the integral S is called the Lagrange function or the Lagrangian. In field theories it is itself an integral over spatial variables.

In the spatial integral L we see a function denoted by the same letter, but in a calligraphic style. This is the Lagrangian density. It is represented as the sum of two terms: the Lagrangian density of the gravitational field and the Lagrangian density of matter. We will discuss the Lagrangian density of the gravitational field in a separate article. As for the Lagrangian density of matter, it depends on a specific type of matter. It can be cosmic dust, gas, liquid, solid, or even dark matter.
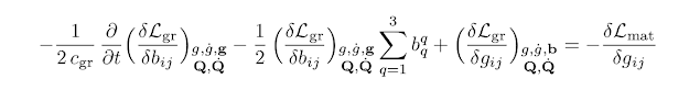
Applying the least action principle to the integral S leads to the Euler-Lagrange equations. In our case, they are divided into two groups of six equations and of one equation, respectively. The group of six equations is written as follows.

Here i ≤ j. The remarkable fact is that this group of six equations coincides with the six equations that were written out in the post "Einstein's equation and consequences from it in the new theory". These same six equations were discussed in the post "Discussion of the obtained gravity equations". The following equality follows from the coincidence of the equations obtained in two different ways.

The second group of Euler-Lagrange equations contains one single equation. It has the following form.

And again this Euler-Lagrange equation coincides with the only equation in the second group of gravity equations, which was considered in the post "Einstein's equation and consequences from it in the new theory" and discussed in the post "Discussion of the obtained gravity equations". From the coincidence of the gravity equations obtained in two different ways the following equality follows.

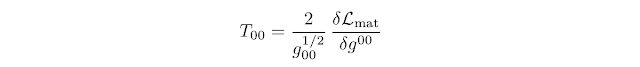
The obtained formulas allow us to calculate the components of the four-dimensional energy-momentum tensor while remaining within the framework of the three-dimensional formalism.
Comments
Post a Comment