Choice of the Lagrangian density for the gravitational field.
Ruslan Sharipov.
The Lagrangian L is included in the action integral, which we considered in the previous post "The Lagrangian approach to deriving the equations of gravity in the new theory". The Lagrangian L itself is expressed in the form of a three-dimensional integral of the Lagrangian density.

As we see from these formulas, the Lagrangian density is the sum of two terms — the Lagrangian density of the gravitational field and the Lagrangian density of matter. The Lagrangian density of matter describes the dynamics of matter. It depends on a specific type of matter that can be cosmic dust, gas, liquid, solid, or even dark matter. We will leave the choice of Lagrangian density of matter for later. Now let's consider the choice of the Lagrangian density for the gravitational field.
The dynamic variables of the gravitational field in the new theory are a three-dimensional metric and a scalar function denoted by the letter g with two zeros. The Lagrangian density of the gravitational field can be an arbitrary scalar function formed by the dynamic variables and their first derivatives with respect to time. There are a lot of such functions. The problem arises — how to choose between them. We make the choice for the following function.

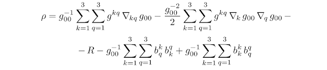
We have already mentioned the function g with two zeros. It is a dynamic variable of the gravitational field. The constant c marked with gr is one of the four analogs of the speed of light considered in the article "How many speeds of light in the new theory?" Gamma is Newton's gravitational constant, and lambda is the cosmological constant. We have already seen them in the Einstein equation, which was considered in the article "Einstein's equation and its consequences in the new theory." The scalar function rho remains. It is given by the following formula.

What is remarkable about this choice? Because it is precisely with this choice that the Euler-Lagrange equations considered in the post "Lagrangian approach to deriving the gravity equations in the new theory" coincide with the equations of gravity obtained by three-dimensional reduction of the Einstein equation in the post "Einstein's equation and consequences from it in the new theory". This choice ensures continuity between Einstein's theory and the new theory of gravity, which was called the "3D-brane universe model"
Comments
Post a Comment